Fig. 2
From: Multifocal high-grade glioma radiotherapy safety and efficacy

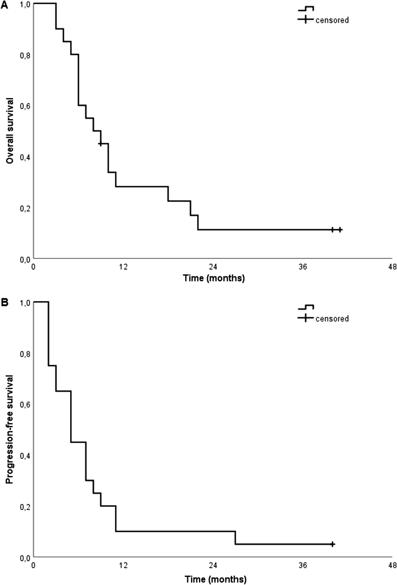
Overall and progression-free survival. Overall survival after diagnosis of multifocal high-grade glioma and progression-free survival after initiation of radiotherapy
From: Multifocal high-grade glioma radiotherapy safety and efficacy

Overall and progression-free survival. Overall survival after diagnosis of multifocal high-grade glioma and progression-free survival after initiation of radiotherapy