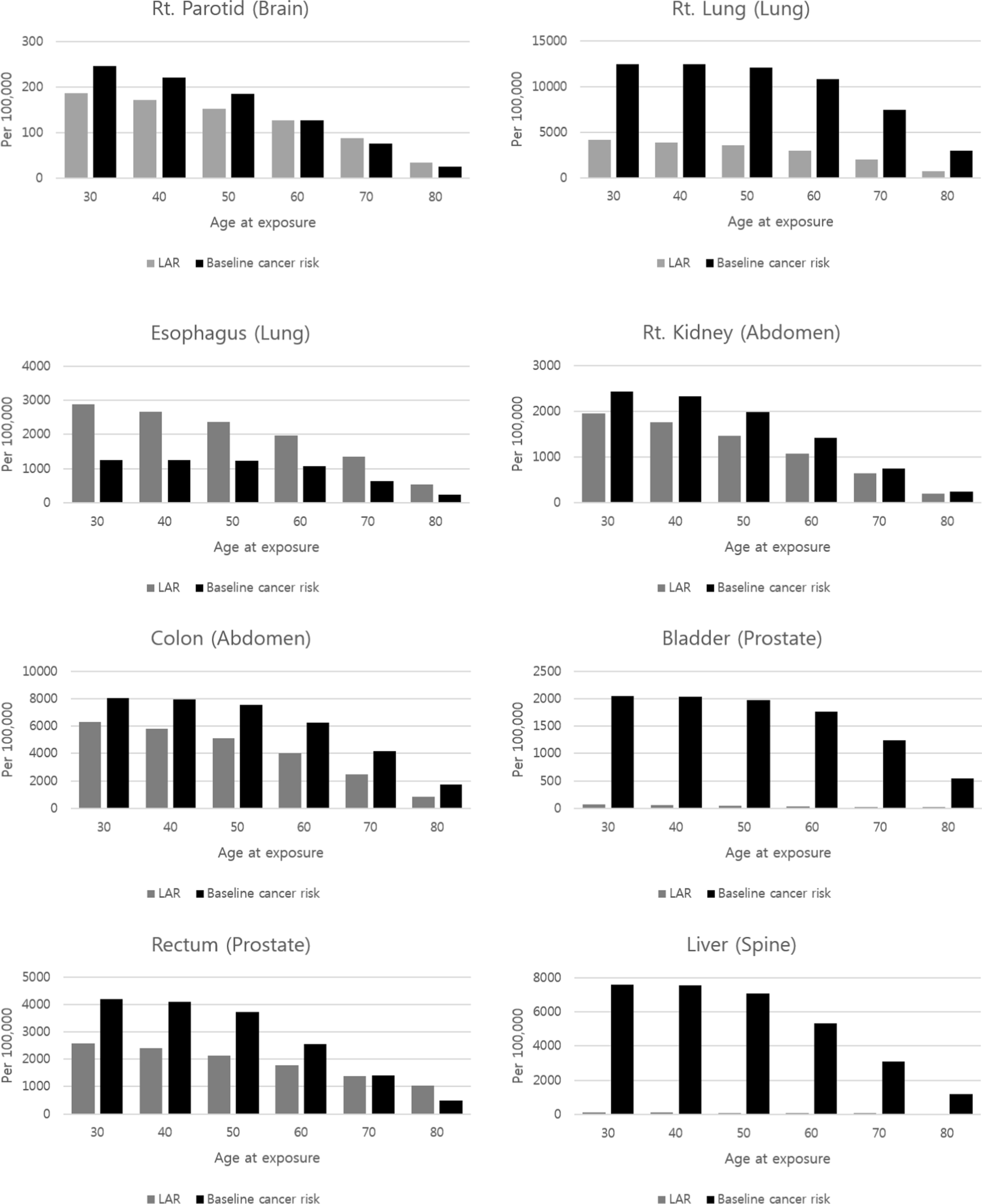
Fig. 3

Comparison of LAR and cumulative baseline cancer risk according to exposure age for OAR (treatment site). LAR lifetime attributable risk, OAR organs at risk

Comparison of LAR and cumulative baseline cancer risk according to exposure age for OAR (treatment site). LAR lifetime attributable risk, OAR organs at risk